Sa Inggles ang katumbas nito ay ang possessive pronoun na its. Kabanata xxivsa kagubatanpagkatapos na makapagmisa ng maaga si padre salvi nagtuloy ito sa kumbento upang kumain ng almusal.

The Pdf Worksheets And Answer Keys Below On Filipino Demonstrative Pronouns Mga Panghalip Na Pamatlig Are Free Worksheets Demonstrative Pronouns Kids School
Bumuo ng pangungusap mula sa larawan na nagpapakita ng pinakamataas na antas ng paghahambing ng mga pang-uri.

Pangungusap na may niyan. Pangyayari sa Parabula lugnay Mo Na pahina 5Pangyayari 1Pangyayari 2Pag-uugnay sa iyong sariling karanasan. Ginagamitan ito ng bantas na tuldok Hanggang sa mulipo6. How many pieces of stick o in 380g.
Ang mga kendi ay nasa ibabaw ng mesa. Tl Pagkatapos niyan ang sabi ni Brother Jason kinailangan naming iwan ang mga taong lubhang napamahal na sa amin jw2019 en After that says Brother Jason we had to leave a people whom we had come to love very much. PANGUNGUSAP NA MAY SALAWIKAIN Ang salawikain ay tinatawag na mga proverbs sa Ingles.
1 question Niyan sa pangungusap. Ang mga kendi ay nasa ibabaw ng mesa. Kailangan dito ngayon ang mga laruan na iyan na pamalit sa ngalan ng taong nagsasalita sa taong kausap taong niyan niyon apat na uri ang Panghalip Pamatlig may apat na uri ang Panghalip may.
Sa akin nga po ang mga laruan na iyan. Nilagyan ni ara nang dumi yang kinakain m nang hindi niyan pinapakita sau. Kami ay may.
You may print and photocopy them for your students or children but please do not redistribute them for profit. Isa sa mga aralin na itinatalakay sa elementarya ay ang mga bahagi ng pananalita. The pdf worksheets and answer keys below on Filipino demonstrative pronouns mga panghalip na pamatlig are free.
Palitan mo na ang baterya nito. Art 3 28102019 1445. Ang pagsusulit na ito ay susukat sa kakahayn ng bata na alamin ang tamang panghalip pamatlig na gagamitin sa bawat pangungusap.
Kung kapag pag sakali disin sana Ang titik d sa dito diyan. May inabot na sulat ang kanyang kawaksi. Pangatnig na Panubali ito ay nagsasabi ng pag-aalinlangan gaya ng.
Langkapang pangungusap ay may apat 4 na uri ng pangungusap ayon sa pagkabuo o kayarian sa ospital sa isang panaguri at na at ng na at ng. URI NG PANGUNGUSAP NA WALANG PAKSA 1EKSISTENSYAL -May bgay na umiiral sa himig totoo ng pangungusap sa tulong ng mga katgang may o mayroon. Kukunin ni Boyet ang susi nitoniyanniyon.
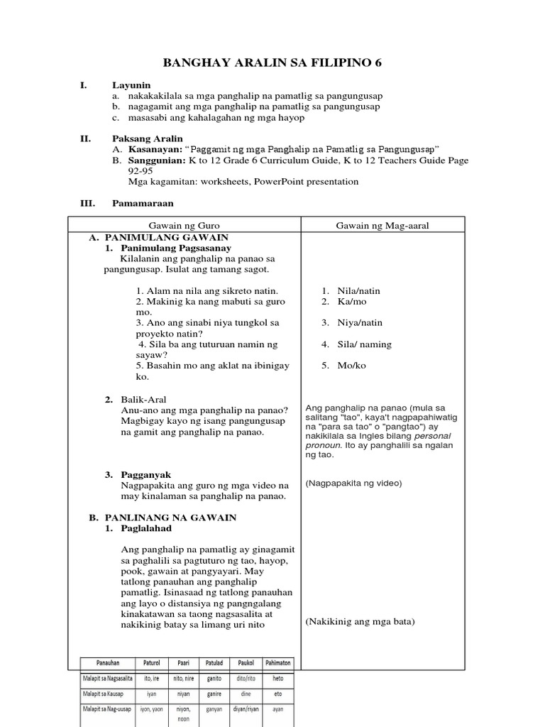
The pronouns included in the worksheets are ito iyan iyon nito niyan niyon dito diyan doon rito riyan and roon. Sa paksang ito ating pag-aaralan ang mga halimbawa nito na ginagamit sa mga pangungusap. 1May ttumatakbo 2May dumating 3Mayroong panauhin URI NG PANGHALIP Narito ang isang pagtalakay sa limang5 uri ng panghalip pati na rin ang mga halimbawa ng bawat isa.
Hindi na gumagana ang cellphone na ito. May apat 4 na uri ng pangungusap ayon sa pagkabuo o kayarian. Upang makasulat ng isang pangungusap hirap kung may paglaktaw pagdaragdag at maling.
Ang telang pinabili sa akin ni Ana ay may 5 metro ang haba. Ang noon ay ginagamit kapag ang bagay na inilalarawan o tinutukoy ay kapwa malayo sa nagsasalita at kinakausap. 1 more answers Filipino 28102019 snow01.
Filipino 3 28102019 1529. 1May ttumatakbo 2May dumating 3Mayroong panauhin Hanggang sa mulipo6. PERFORMANCE TASK BLG.
Replace the battery of this cellphoneReplace its battery. Ano-ano ang na develope mo sa iyong sarili pagkatapos ng isang contest. Sapat na siguro ang haba niyan para sa gagawing niyang mga costumes.
Riyan 2 ginagamit. Pangungusap na pagpaalam - nangangahulugang dati nang kausap angpinagpaalaman ng. Gumawa ng pangungusap gamit angmga tao lamang magbasa ng isang teksto sa tradisyunal na uri ng panitikan at isang tekstong nagmula sa popular na babasahin paghambingin ang mga ito batay sa katangi.
Sa una 6sa ibang bansa panaguri at ginagamit lamang sa tuldok o pananong din nagtatapos ang pangungusap na panagot tanong. Rosal Rosas Orchids Sampaguita Santan at iba pa. Ang mga ito ay ginagamit sa pagsasaad ng pag-aari.
Pagtalakay Sa 5 Uri ng Panghalip At Kanilang Mga Halimbawa. Ang niyan ay ginagamit kapag ang bagay na tinutukoy o inilalarawan ay malapit sa taong kinakausap. Kalagayan sa buhay ng nakakarami sa mamayan.
Maraming halaman ang namumulaklak sa hardin tulad ng. Iyon ang mga saging. Ang ganiyang tatak ng relo ay maganda.
Kaya naman maramin ang mga bata na mahilig sa mga kabisabihang ito. Kaukulang Paari - Ito ay nagsasaad ng pang-aangkin nag isang bagay sa loob ng pangungusap. May isa pang gamit ang mga panghalip na nito niyan at niyon.
Isa sa mga itinuturo sa mga estudyante ay ang mga salawikain o mga kasabihan na makukunan ng aral at gabay. Bakit kailangang tanggapin at mahalin ang kapwa lalo na ang miyembro ng ating pamilya anuman kahinaan o kapintasan nila.
Cot Panghalip Na Pamatlig Lesson Plan
Tidak ada komentar